首页 诗词 字典 板报 句子 名言 友答 励志 学校 网站地图
当前位置: 首页 > 教程频道 > 开发语言 > 编程 >

0024算法笔记——单源最短路径有关问题

2013-04-02 
0024算法笔记——单源最短路径问题1、问题描述给定带权有向图G (V,E),其中每条边的权是非负实数。另外,还给定

0024算法笔记——单源最短路径问题

      1、问题描述

     给定带权有向图G =(V,E),其中每条边的权是非负实数。另外,还给定V中的一个顶点,称为源。现在要计算从源到所有其他各顶点的最短路长度。这里路的长度是指路上各边权之和。这个问题通常称为单源最短路径问题。

    2、Dijkstra算法

     Dijkstra算法是解单源最短路径问题的贪心算法。
    其基本思想是,设置顶点集合S并不断地作贪心选择来扩充这个集合。一个顶点属于集合S当且仅当从源到该顶点的最短路径长度已知。初始时,S中仅含有源。设u是G的某一个顶点,把从源到u且中间只经过S中顶点的路称为从源到u的特殊路径,并用数组dist记录当前每个顶点所对应的最短特殊路径长度。Dijkstra算法每次从V-S中取出具有最短特殊路长度的顶点u,将u添加到S中,同时对数组dist作必要的修改。一旦S包含了所有V中顶点,dist就记录了从源到所有其他顶点之间的最短路径长度。

    Dijkstra算法可描述如下,其中输入带权有向图是G=(V,E),V={1,2,…,n},顶点v是源。c是一个二维数组,c[i][j]表示边(i,j)的权。当(i,j)不属于E时,c[i][j]是一个大数。dist[i]表示当前从源到顶点i的最短特殊路径长度。在Dijkstra算法中做贪心选择时,实际上是考虑当S添加u之后,可能出现一条到顶点的新的特殊路,如果这条新特殊路是先经过老的S到达顶点u,然后从u经过一条边直接到达顶点i,则这种路的最短长度是dist[u]+c[u][i]。如果dist[u]+c[u][i]<dist[i],则需要更新dist[i]的值。步骤如下:

   (1) 用带权的邻接矩阵c来表示带权有向图, c[i][j]表示弧<vi,vj>上的权值。设S为已知最短路径的终点的集合,它的初始状态为空集。从源点v经过S到图上其余各点vi的当前最短路径长度的初值为:dist[i]=c[v][i], vi属于V.
   (2) 选择vu, 使得dist[u]=Min{dist[i] | vi属于V-S},vj就是长度最短的最短路径的终点。令S=S U {u}.

   (3) 修改从v到集合V-S上任一顶点vi的当前最短路径长度:如果 dist[u]+c[u][j]< dist[j] 则修改 dist[j]= dist[u]+c[u][j]. 
   (4) 重复操作(2),(3)共n-1次.

算法具体实现如下:

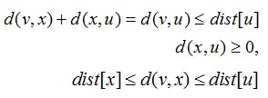
0024算法笔记——单源最短路径有关问题      3、贪心选择性质    从V-S中选择具有最短特殊路径的顶点u,从而确定从源到u的最短路径长度dist[u]。为什么从源到u没有更短的其他路径?如图,如果存在一条从源到u且长度比dist[u]更短的路,设这条路初次走出S之外到达的顶点为x(x属于V-S),然后徘徊于S内外若干次,左后离开S到达u。在这条路上分别记d(v,x),d(x,u)和d(v,u)为顶点v到顶点x,顶点x到顶点u,顶点v到顶点u的路长。则有:0024算法笔记——单源最短路径有关问题0024算法笔记——单源最短路径有关问题
    dist[x]<=dist[u]与u是当前贪心选择矛盾!    4、最优子结构性质     该性质描述为:如果S(i,j)={Vi....Vk..Vs...Vj}是从顶点i到j的最短路径,k和s是这条路径上的一个中间顶点,那么S(k,s)必定是从k到s的最短路径。下面证明该性质的正确性。
     假设S(i,j)={Vi....Vk..Vs...Vj}是从顶点i到j的最短路径,则有S(i,j)=S(i,k)+S(k,s)+S(s,j)。而S(k,s)不是从k到s的最短距离,那么必定存在另一条从k到s的最短路径S'(k,s),那么S'(i,j)=S(i,k)+S'(k,s)+S(s,j)<S(i,j)。则与S(i,j)是从i到j的最短路径相矛盾。因此该性质得证。     5、计算复杂性     对于一个具有n个顶点和e条边的带权有向图,如果用带权邻接矩阵表示这个图,那么Dijkstra算法的主循环体需要O(n)时间。这个循环需要执行n-1次,所以完成循环需要O(n^2)时间。算法的其余部分所需要的时间不超过O(n^2)。     程序运行结果为: 0024算法笔记——单源最短路径有关问题

热点排行