C语言实验题:已知地球上两点的经度和纬度求其球面距离
要求:地球的平均半径为6371千米,已知地球上两个城市A、B的经度和纬度,编程序求出这两个城市之间的地面距离。
首先,固定两点,a(x1,y1,z1),b(x2,y2,z2)。

由空间解析几何及向量知识知:

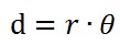
其中,theta是两向量夹角,球面距离d:

对于A点来说,

theta就是A点的纬度值,即:

也即:

而对于A点的x,y坐标,首先:

r1是小圆的半径,也就是下图中的蓝色圆:

请注意平面图与立体图中坐标的对应,我已一一对应好,注意观察。
图中的alpha即:

所以,坐标与经度之间有如下关系:

实际的北极点是这样的:

还有一点,东西经南北纬转化问题。
关于东西经和南北纬,在上面的阐述中,东经的点的y值都是正值,西经的点的y值都是负值,北纬的点的z值都是正值,南纬的点的z值都是负值。因为如下图,地球被分为了东北半球,东南半球,西北半球,西南半球:

如上分析,不难写出如下代码:
#include <iostream>#include <cmath>#include <string>#include <cstring>#include <cstdio>using namespace std;#define pi 3.1415926535#define radio 6378137.0//defining a new struct for the convenience of calculatingtypedef struct{ long double Longitude; long double Lantitude; string East_or_West; string North_or_South;} dot;//function for calculatingint Distance(float lat1, float lon1, float lat2, float lon2){ double latitude1,longitude1,latitude2,longitude2; double dlat,dlon; latitude1=lat1; longitude1=lon1; latitude2=lat2; longitude2=lon2; //computing procedure double a,c,distance; dlon =fabs((longitude2 - longitude1))*pi/180; dlat =fabs((latitude2 - latitude1))*pi/180; a = (sin(dlat/2)*sin(dlat/2)) + cos(latitude1*pi/180) * cos(latitude2*pi/180) * (sin(dlon/2)*sin(dlon/2)); if(a==1.0) c=pi; else c = 2 * atan(sqrt(a)/sqrt(1-a)); distance= radio*c; return distance;}int main(){ long double r = 6371.004; dot a, b; //freopen("D:\example.txt","r",stdin); while(1) { cout<<"Please input the two dots' coordinates like the following format: "<<endl; cout<<"East 30 North 20"<<"West 40 North 10"<<endl; //data input procedure cin>>a.East_or_West>>a.Longitude>>a.North_or_South>>a.Lantitude; cin>>b.East_or_West>>b.Longitude>>b.North_or_South>>b.Lantitude; //transfer { if(a.East_or_West == "East") { a.Longitude = a.Longitude; } else if(a.East_or_West == "West") { a.Longitude = - a.Longitude; } } { if(a.North_or_South == "North") { a.Lantitude = pi / 2 - a.Lantitude; } else if (a.North_or_South == "South") { a.Lantitude = pi / 2 + a.Lantitude; } } { if(b.East_or_West == "East") { b.Longitude = b.Longitude; } else if(a.East_or_West == "West") { b.Longitude = - b.Longitude; } } { if(a.North_or_South == "North") { b.Lantitude = pi / 2 - b.Lantitude; } else if (a.North_or_South == "South") { b.Lantitude = pi / 2 + b.Lantitude; } } //data output procedure float result = Distance(a.Lantitude, a.Longitude, b.Lantitude, b.Longitude); cout<<"The distance is: "<<result<<endl<<endl; }}想要更深层次了解此问题,请参看微分几何中关于测地线及测地线曲率的相关问题。
欲证明该思想的正确性,可以采取如下反证法:
假设通过二点存在一个小圆对应的劣弧长比球面距离小,那条曲线未必是平面曲线,所以未必是圆弧。