首页 诗词 字典 板报 句子 名言 友答 励志 学校 网站地图
当前位置: 首页 > 教程频道 > 软件管理 > 软件架构设计 >

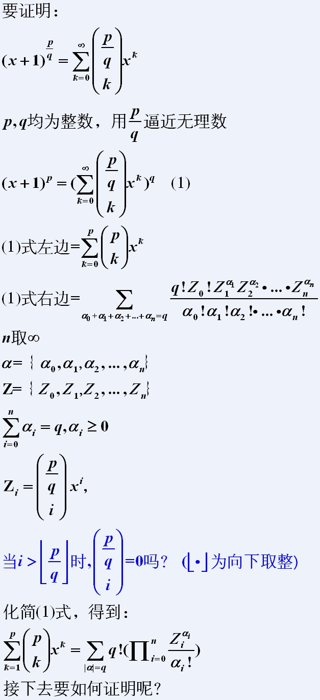
怎么将二项式定理推广到幂为分数的情形

2013-03-04 
如何将二项式定理推广到幂为分数的情形http://zh.wikipedia.org/wiki/%E4%BA%8C%E9%A1%B9%E5%BC%8F%E5%AE%

如何将二项式定理推广到幂为分数的情形
怎么将二项式定理推广到幂为分数的情形
http://zh.wikipedia.org/wiki/%E4%BA%8C%E9%A1%B9%E5%BC%8F%E5%AE%9A%E7%90%86
对幂函数的求导和求取极限值e是以二项式定理为基础,
如何证明广义二项式定理对幂为分数时,同样适用呢?

怎么将二项式定理推广到幂为分数的情形
[解决办法]
因为是齐次式,不妨设x=1
然后就是(1+y)^alpha,泰勒展开就行。
[解决办法]
用特殊函数伽玛函数。组合数是其特殊情形。

热点排行