首页 诗词 字典 板报 句子 名言 友答 励志 学校 网站地图
当前位置: 首页 > 教程频道 > 开发语言 > 编程 >

0011算法笔记——最长公共子序列有关问题(LCS)

2013-01-20 
0011算法笔记——最长公共子序列问题(LCS)问题描述:一个给定序列的子序列是在该序列中删去若干元素后得到的

0011算法笔记——最长公共子序列问题(LCS)

      问题描述:一个给定序列的子序列是在该序列中删去若干元素后得到的序列。确切地说,若给定序列X= { x1, x2,…, xm},则另一序列Z= {z1, z2,…, zk}是X的子序列是指存在一个严格递增的下标序列 {i1, i2,…, ik},使得对于所有j=1,2,…,k有 Xij=Zj。例如,序列Z={B,C,D,B}是序列X={A,B,C,B,D,A,B}的子序列,相应的递增下标序列为{2,3,5,7}。给定两个序列X和Y,当另一序列Z既是X的子序列又是Y的子序列时,称Z是序列X和Y的公共子序列。例如,若X= { A, B, C, B, D, A, B}和Y= {B, D, C, A, B, A},则序列{B,C,A}是X和Y的一个公共子序列,序列{B,C,B,A}也是X和Y的一个公共子序列。而且,后者是X和Y的一个最长公共子序列,因为X和Y没有长度大于4的公共子序列。给定两个序列X= {x1, x2, …, xm}和Y= {y1, y2, … , yn},要求找出X和Y的一个最长公共子序列。

    问题解析:设X= { A, B, C, B, D, A, B},Y= {B, D, C, A, B, A}。求X,Y的最长公共子序列最容易想到的方法是穷举法。对X的多有子序列,检查它是否也是Y的子序列,从而确定它是否为X和Y的公共子序列。由集合的性质知,元素为m的集合共有2^m个不同子序列,因此,穷举法需要指数级别的运算时间。进一步分解问题特性,最长公共子序列问题实际上具有最优子结构性质。

      设序列X={x1,x2,……xm}和Y={y1,y2,……yn}的最长公共子序列为Z={z1,z2,……zk}。则有:

      (1)若xm=yn,则zk=xm=yn,且zk-1是Xm-1和Yn-1的最长公共子序列。

      (2)若xm!=yn且zk!=xm,则Z是Xm-1和Y的最长公共子序列。

      (3)若xm!=yn且zk!=yn,则Z是X和Yn-1的最长公共子序列。

      其中,Xm-1={x1,x2……xm-1},Yn-1={y1,y2……yn-1},Zk-1={z1,z2……zk-1}。

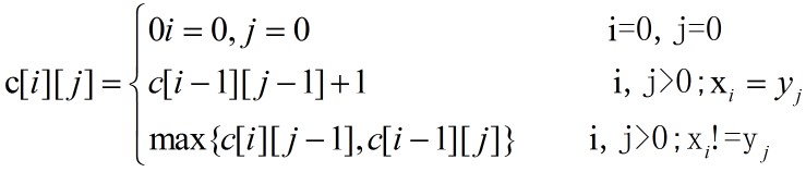
    递推关系:用c[i][j]记录序列Xi和Yj的最长公共子序列的长度。其中,Xi={x1,x2……xi},Yj={y1,y2……yj}。当i=0或j=0时,空序列是xi和yj的最长公共子序列。此时,c[i][j]=0;当i,j>0,xi=yj时,c[i][j]=c[i-1][j-1]+1;当i,j>0,xi!=yj时,

c[i][j]=max{c[i][j-1],c[i-1][j]},由此建立递推关系如下:

0011算法笔记——最长公共子序列有关问题(LCS)

          构造最优解:由以上分析可知,要找出X={x1,x2,……xm}和Y={y1,y2,……yn}的最长公共子序列,可以按一下方式递归进行:当xm=yn时,找出xm-1和yn-1的最长公共子序列,然后在尾部加上xm(=yn)即可得X和Y的最长公共子序列。当Xm!=Yn时,必须解两个子问题,即找出Xm-1和Y的一个最长公共子序列及X和Yn-1的一个最长公共子序列。这两个公共子序列中较长者为X和Y的最长公共子序列。设数组b[i][j]记录c[i][j]的值由哪一个子问题的解得到的,从b[m][n]开始,依其值在数组b中搜索,当b[i][j]=1时,表示Xi和Yj的最长公共子序列是由Xi-1和Yj-1的最长公共子序列在尾部加上xi所得到的子序列。当b[i][j]=2时,表示Xi和Yj的最长公共子序列与Xi-1和Yj-1的最长公共子序列相同。当b[i][j]=3时,表示Xi和Yj的最长公共子序列与Xi和Yj-1的最长公共子序列相同。

     代码如下:

//3d3-1 最长公共子序列问题#include "stdafx.h"#include <iostream> using namespace std; const int M = 7;const int N = 6;void output(char *s,int n);void LCSLength(int m,int n,char *x,char *y,int **c,int **b);void LCS(int i,int j,char *x,int **b);int main(){//X={A,B,C,B,D,A,B}//Y={B,D,C,A,B,A}char x[] = {' ','A','B','C','B','D','A','B'};char y[] = {' ','B','D','C','A','B','A'};int **c = new int *[M+1];int **b = new int *[M+1];for(int i=0;i<=M;i++)      {  c[i] = new int[N+1];b[i] = new int[N+1];    } cout<<"序列X:"<<endl;output(x,M);cout<<"序列Y:"<<endl;output(y,N);LCSLength(M,N,x,y,c,b);cout<<"序列X、Y最长公共子序列长度为:"<<c[M][N]<<endl;cout<<"序列X、Y最长公共子序列为:"<<endl;LCS(M,N,x,b);cout<<endl;}void output(char *s,int n){for(int i=1; i<=n; i++){cout<<s[i]<<" ";}cout<<endl;}void LCSLength(int m,int n,char *x,char *y,int **c,int **b){int i,j;for(i=1; i<=m; i++)c[i][0] = 0;for(i=1; i<=n; i++)c[0][i] = 0;for(i=1; i<=m; i++){for(j=1; j<=n; j++){if(x[i]==y[j]){c[i][j]=c[i-1][j-1]+1;b[i][j]=1;}else if(c[i-1][j]>=c[i][j-1]){c[i][j]=c[i-1][j];b[i][j]=2;}else{ c[i][j]=c[i][j-1]; b[i][j]=3;}}}}void LCS(int i,int j,char *x,int **b){if(i==0 || j==0){return;}if(b[i][j]==1){LCS(i-1,j-1,x,b);cout<<x[i]<<" ";}else if(b[i][j]==2){LCS(i-1,j,x,b);}else{LCS(i,j-1,x,b);}}

            LCSLength函数在计算最优值时,分别迭代X,Y构造数组b,c。设数组每个元素单元计算耗费时间O(1),则易得算法LCSLength的时间复杂度为O(mn)。在算法LCS中,依据数组b的值回溯构造最优解,每一次递归调用使i,或j减小1。从而算法的计算时间为O(m+n)。LCS的回溯构造最优解过程如下图所示:

0011算法笔记——最长公共子序列有关问题(LCS)

 

           算法的改进:对于一个具体问题,按照一般的算法设计策略设计出的算法,往往在算法的时间和空间需求上还可以改进。这种改进,通常是利用具体问题的一些特殊性。例如,在算法LCS_length和LCS中,可进一步将数组b省去。事实上,数组元素c[i,j]的值仅由c[i-1][j-1],c[i-1][j]和c[i][j-1]三个值之一确定,而数组元素b[i][j]也只是用来指示c[i][j]究竟由哪个值确定。因此,在算法LCS中,我们可以不借助于数组b而借助于数组c本身临时判断c[i][j]的值是由c[i-1][j-1],c[i-1][j]和c[i][j-1]中哪一个数值元素所确定,代价是Ο(1)时间。既然b对于算法LCS不是必要的,那么算法LCS_length便不必保存它。这一来,可节省θ(mn)的空间,而LCS_length和LCS所需要的时间分别仍然是Ο(mn)和Ο(m+n)。另外,如果只需要计算最长公共子序列的长度,则算法的空间需求还可大大减少。事实上,在计算c[i][j]时,只用到数组c的第i行和第i-1行。因此,只要用2行的数组空间就可以计算出最长公共子序列的长度。更进一步的分析还可将空间需求减至min(m, n)。

//3d3-2 最长公共子序列问题#include "stdafx.h"#include <iostream> using namespace std; const int M = 7;const int N = 6;void output(char *s,int n);void LCSLength(int m,int n,char *x,char *y,int **c);void LCS(int i,int j,char *x,int **c);int main(){//X={A,B,C,B,D,A,B}//Y={B,D,C,A,B,A}char x[] = {' ','A','B','C','B','D','A','B'};char y[] = {' ','B','D','C','A','B','A'};int **c = new int *[M+1];for(int i=0;i<=M;i++)      {  c[i] = new int[N+1];    } cout<<"序列X:"<<endl;output(x,M);cout<<"序列Y:"<<endl;output(y,N);LCSLength(M,N,x,y,c);cout<<"序列X、Y最长公共子序列长度为:"<<c[M][N]<<endl;cout<<"序列X、Y最长公共子序列为:"<<endl;LCS(M,N,x,c);cout<<endl;}void output(char *s,int n){for(int i=1; i<=n; i++){cout<<s[i]<<" ";}cout<<endl;}void LCSLength(int m,int n,char *x,char *y,int **c){int i,j;for(i=1; i<=m; i++)c[i][0] = 0;for(i=1; i<=n; i++)c[0][i] = 0;for(i=1; i<=m; i++){for(j=1; j<=n; j++){if(x[i]==y[j]){c[i][j]=c[i-1][j-1]+1;}else if(c[i-1][j]>=c[i][j-1]){c[i][j]=c[i-1][j];}else{ c[i][j]=c[i][j-1];}}}}void LCS(int i,int j,char *x,int **c){if(i==0 || j==0){return;}if(c[i][j]==c[i-1][j-1]+1){LCS(i-1,j-1,x,c);cout<<x[i]<<" ";}else if(c[i-1][j]>=c[i][j-1]){LCS(i-1,j,x,c);}else{LCS(i,j-1,x,c);}}

         运行结果如下:

0011算法笔记——最长公共子序列有关问题(LCS)       

热点排行