首页
诗词
字典
板报
句子
名言
友答
励志
学校
网站地图
软件架构设计
软件开发
软件架构设计
CVS SVN
VSTS
PowerDesigner
Rational
软件测试
当前位置:
首页
>
教程频道
>
软件管理
>
软件架构设计
>
多元一次不等式有通用的解法吗解决办法
2013-01-05
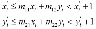
多元一次不等式有通用的解法吗例:如何求解Xi和Yi?[解决办法]这是标准的有约束的线性规划问题,有现成的软件
多元一次不等式有通用的解法吗
例:
如何求解Xi和Yi?
[解决办法]
这是标准的有约束的线性规划问题,有现成的软件。
查看更多
下一篇
本文网址:
https://www.reader8.net/jiaocheng/20130105/1813173.html
读书人精选
热点排行
一个和朋友争论的老题,求解释,该如何解
类型转换与输入校验小结
身为码农,替 12306 说两句公道话
paoding的分词运用
统制流量-滑动窗口机制
忘记李刚,一步一步跟小弟我学Struts2 —
dwr create creator="spring"
怎么把学校漂亮的美女选择出来
RESTFUL实现主流框架 CXF、Restlet、RES
Spring收拾3 - 自定义属性编辑器