统计学习笔记(3)——k近邻法与kd树
在使用k近邻法进行分类时,对新的实例,根据其k个最近邻的训练实例的类别,通过多数表决的方式进行预测。由于k近邻模型的特征空间一般是n维实数向量,所以距离的计算通常采用的是欧式距离。关键的是k值的选取,如果k值太小就意味着整体模型变得复杂,容易发生过拟合,即如果邻近的实例点恰巧是噪声,预测就会出错,极端的情况是k=1,称为最近邻算法,对于待预测点x,与x最近的点决定了x的类别。k值得增大意味着整体的模型变得简单,极端的情况是k=N,那么无论输入实例是什么,都简单地预测它属于训练集中最多的类,这样的模型过于简单。经验是,k值一般去一个比较小的值,通常采取交叉验证的方法来选取最优的k值。
实现k近邻法时,主要考虑的问题是如何对训练数据进行快速k近邻搜索,这点在特征空间的维数大以及训练数据容量大时尤其重要。k近邻法的最简单实现是线性扫描,这时要计算输入实例与每一个训练实例的距离,当训练集很大时,计算非常耗时,这种方法是不可行的。为了提高k近邻搜索的效率,可以考虑使用特殊的结构存储训练数据,以减少计算距离的次数。具体方法有很多,这里介绍kd树方法。
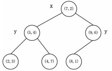
1.实例 先以一个简单直观的实例来介绍k-d树算法。假设有6个二维数据点{(2,3),(5,4),(9,6),(4,7),(8,1),(7,2)},数据点位于二维空间内(如图2中黑点所示)。k-d树算法就是要确定图2中这些分割空间的分割线(多维空间即为分割平面,一般为超平面)。下面就要通过一步步展示k-d树是如何确定这些分割线的。

k-d树算法可以分为两大部分,一部分是有关k-d树本身这种数据结构建立的算法,另一部分是在建立的k-d树上如何进行最邻近查找的算法。
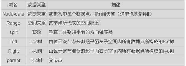
2.构造kd树 kd树是一种对k维空间中的实例点进行存储以便对其进行快速搜索的树形数据结构。kd树是二叉树,表示对k维空间的一个划分。构造kd树相当于不断地用垂直于坐标轴的超平面将k维空间进行切分,构成一系列的k维超矩形区域。kd树的每一个节点对应于一个k维超矩形区域。k-d树是一个二叉树,每个节点表示一个空间范围。下表给出的是k-d树每个节点中主要包含的数据结构。

从上面对k-d树节点的数据类型的描述可以看出构建k-d树是一个逐级展开的递归过程。下面给出的是构建k-d树的伪码。
如算法所述,k-d树的构建是一个递归的过程。然后对左子空间和右子空间内的数据重复根节点的过程就可以得到下一级子节点(5,4)和(9,6)(也就是左右子空间的'根'节点),同时将空间和数据集进一步细分。如此反复直到空间中只包含一个数据点,如下图所示。最后生成的k-d树如下图所示。
3.搜索kd树
在k-d树中进行数据的查找也是特征匹配的重要环节,其目的是检索在k-d树中与查询点距离最近的数据点。这里先以一个简单的实例来描述最邻近查找的基本思路。
星号表示要查询的点(2.1,3.1)。通过二叉搜索,顺着搜索路径很快就能找到最邻近的近似点,也就是叶子节点(2,3)。而找到的叶子节点并不一定就是最邻近的,最邻近肯定距离查询点更近,应该位于以查询点为圆心且通过叶子节点的圆域内。为了找到真正的最近邻,还需要进行'回溯'操作:算法沿搜索路径反向查找是否有距离查询点更近的数据点。此例中先从(7,2)点开始进行二叉查找,然后到达(5,4),最后到达(2,3),此时搜索路径中的节点为小于(7,2)和(5,4),大于(2,3),首先以(2,3)作为当前最近邻点,计算其到查询点(2.1,3.1)的距离为0.1414,然后回溯到其父节点(5,4),并判断在该父节点的其他子节点空间中是否有距离查询点更近的数据点。以(2.1,3.1)为圆心,以0.1414为半径画圆,如下图所示。发现该圆并不和超平面y = 4交割,因此不用进入(5,4)节点右子空间中去搜索。
再回溯到(7,2),以(2.1,3.1)为圆心,以0.1414为半径的圆更不会与x = 7超平面交割,因此不用进入(7,2)右子空间进行查找。至此,搜索路径中的节点已经全部回溯完,结束整个搜索,返回最近邻点(2,3),最近距离为0.1414。
一个复杂点了例子如查找点为(2,4.5)。同样先进行二叉查找,先从(7,2)查找到(5,4)节点,在进行查找时是由y = 4为分割超平面的,由于查找点为y值为4.5,因此进入右子空间查找到(4,7),形成搜索路径<(7,2),(5,4),(4,7)>,取(4,7)为当前最近邻点,计算其与目标查找点的距离为3.202。然后回溯到(5,4),计算其与查找点之间的距离为3.041。以(2,4.5)为圆心,以3.041为半径作圆,如下图左所示。可见该圆和y = 4超平面交割,所以需要进入(5,4)左子空间进行查找。此时需将(2,3)节点加入搜索路径中得<(7,2),(2,3)>。回溯至(2,3)叶子节点,(2,3)距离(2,4.5)比(5,4)要近,所以最近邻点更新为(2,3),最近距离更新为1.5。回溯至(7,2),以(2,4.5)为圆心1.5为半径作圆,并不和x = 7分割超平面交割,如下图右所示。至此,搜索路径回溯完。返回最近邻点(2,3),最近距离1.5。k-d树查询算法的伪代码如下所示。
算法:k-d树最邻近查找输入:Kd, //k-d tree类型 target //查询数据点输出:nearest, //最邻近数据点 dist //最邻近数据点和查询点间的距离1. If Kd为NULL,则设dist为infinite并返回2. //进行二叉查找,生成搜索路径 Kd_point = &Kd; //Kd-point中保存k-d tree根节点地址 nearest = Kd_point -> Node-data; //初始化最近邻点 while(Kd_point) push(Kd_point)到search_path中; //search_path是一个堆栈结构,存储着搜索路径节点指针 /*** If Dist(nearest,target) > Dist(Kd_point -> Node-data,target) nearest = Kd_point -> Node-data; //更新最近邻点 Max_dist = Dist(Kd_point,target); //更新最近邻点与查询点间的距离 ***/ s = Kd_point -> split; //确定待分割的方向 If target[s] <= Kd_point -> Node-data[s] //进行二叉查找 Kd_point = Kd_point -> left; else Kd_point = Kd_point ->right; nearest = search_path中最后一个叶子节点; //注意:二叉搜索时不比计算选择搜索路径中的最邻近点,这部分已被注释 Max_dist = Dist(nearest,target); //直接取最后叶子节点作为回溯前的初始最近邻点3. //回溯查找 while(search_path != NULL) back_point = 从search_path取出一个节点指针; //从search_path堆栈弹栈 s = back_point -> split; //确定分割方向 If Dist(target[s],back_point -> Node-data[s]) < Max_dist //判断还需进入的子空间 If target[s] <= back_point -> Node-data[s] Kd_point = back_point -> right; //如果target位于左子空间,就应进入右子空间 else Kd_point = back_point -> left; //如果target位于右子空间,就应进入左子空间 将Kd_point压入search_path堆栈; If Dist(nearest,target) > Dist(Kd_Point -> Node-data,target) nearest = Kd_point -> Node-data; //更新最近邻点 Min_dist = Dist(Kd_point -> Node-data,target); //更新最近邻点与查询点间的距离当维数较大时,直接利用k-d树快速检索的性能急剧下降。假设数据集的维数为D,一般来说要求数据的规模N满足条件:N远大于2的D次方,才能达到高效的搜索。
参考:
http://www.cnblogs.com/eyeszjwang/articles/2429382.html