Bezier曲线的绘制
Bezier曲线是参数多项式曲线,它由一组控制多边形折线(控制多边形)的顶点唯一定义,在控制多边形的各顶点中,只有第一个和最后一个顶点在曲线上,其他的顶点则用以定义曲线的导数,阶次和形状
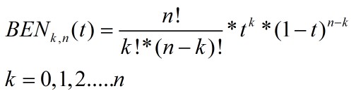
Bezier曲线的数学基础是能够在第一个和最后一个顶点之间进行插值的一个多项式混合函数,对于有n+1个控制点的Bezier曲线段用参数方程表示如下:

式中pk(xk,yk,zk),k=0,1,2…..n是控制多边形的n+1个顶点,BENk,n(t)是Bernstein基函数

下面输入n个点并绘制Bezier曲线
(红色为控制多边形,绿色为Bezier曲线)