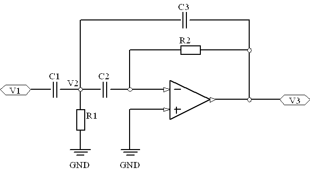
多重反馈型高通滤波器
将多重反馈型低通滤波器上的电阻和电容的位置对换后就成为了高通滤波器,其形式如图1 所示。

图1: 多重反馈型低通滤波器
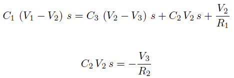
列写电路方程如下:

化简后可得到:

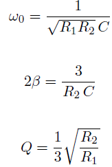
当C1 = C2 = C3 = C 时,上面的式子可以化简为:

可以看出输入输出关系是典型的二阶高通滤波器。

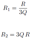
因此,设R =sqrt(R1*R2),则根据品质因数Q 可以确定两个电阻的容值。

下面是个仿真实例,C1 = C2 = C3 = 22nF,R1 = 2:4kΩ,R2 = 21kΩ,因此截止频率约为1kHz,运算放大器采用理想运放。频响特性如下图所示。

但是当考虑运放的特性后电路的效果就有点差强人意了。下面我分别用理想运放、OP07、OP27 来进行仿真,将三个频响特性画到一张图中对比。

结果很奇怪,采用OP07 时得到的结果竟然比采用OP27 时要好。为什么会这样一时难以想明白。不过仿真结果也不能完全相信。有空我准备搭个电路做个实验。毕竟实验的结果比仿真要真实的多。
如果有谁能解释这个仿真的结果,希望能够给个答案。