相对任一参考点的二维几何变换
相对任一参考点的二维几何变换
如需要相对于某个参考点(x,y)作二维变换,其基本思想是,将图形经过平移,使参考点与原点重合,此时相对于参考点的变换变成相对于原点的基本几何变换,最后再平移,使参考点回到原来的位置
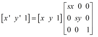
比例变换的齐次坐标计算形式如下:

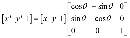
二维图形绕原点顺时针旋转θ角的齐次坐标计算形式如下:

(Mathtype中,按住Shift和Ctrl,再按空格键,即可添加空格)
下面简单实现图形相对于参考点作缩放和旋转变换
给出一个测试数据
请输入点的个数和坐标
个数:3
点的坐标:
0 0
200 0
100 100
请输入参考点和缩放比例: 0 0 2
请输入旋转中心和旋转角度: 0 0 -0.3