首页 诗词 字典 板报 句子 名言 友答 励志 学校 网站地图
当前位置: 首页 > 教程频道 > 开发语言 > 编程 >

深度优先搜索输出有向图中的全部环(JAVA)

2012-12-27 
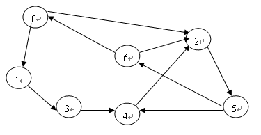
深度优先搜索输出有向图中的所有环(JAVA)如图:求出有向图的所有环。import java.util.ArrayListimport jav

深度优先搜索输出有向图中的所有环(JAVA)
如图:求出有向图的所有环。


import java.util.ArrayList;import java.util.Arrays;public class TestCycle {     private int n;     private int[] visited;//节点状态,值为0的是未访问的     private int[][] e;//有向图的邻接矩阵     private ArrayList<Integer> trace=new ArrayList<Integer>();//从出发节点到当前节点的轨迹     private boolean hasCycle=false;     public TestCycle(int n,int[][] e){         this.n=n;         visited=new int[n];         Arrays.fill(visited,0);         this.e=e;     }         void findCycle(int v)   //递归DFS    {        if(visited[v]==1)        {            int j;            if((j=trace.indexOf(v))!=-1)            {                hasCycle=true;                System.out.print("Cycle:");                while(j<trace.size())                {                    System.out.print(trace.get(j)+" ");                    j++;                }                System.out.print("\n");                return;            }            return;        }        visited[v]=1;        trace.add(v);                for(int i=0;i<n;i++)        {            if(e[v][i]==1)                findCycle(i);        }        trace.remove(trace.size()-1);    }    public boolean getHasCycle(){      return hasCycle;  }   public static void main(String[] args) {        int n=7;        int[][] e={                    {0,1,1,0,0,0,0},                    {0,0,0,1,0,0,0},                    {0,0,0,0,0,1,0},                    {0,0,0,0,1,0,0},                    {0,0,1,0,0,0,0},                    {0,0,0,0,1,0,1},                    {1,0,1,0,0,0,0}};//有向图的邻接矩阵,值大家任意改.        TestCycle tc=new TestCycle(n,e);        tc.findCycle(1);        if(!tc.hasCycle)             System.out.println("No Cycle.");    }}


运行:
C:\java>java   TestCycle
Cycle:4 2 5
Cycle:1 3 4 2 5 6 0
Cycle:2 5 6 0
Cycle:2 5 6

源码:

热点排行