基于baseline和stochastic gradient descent的个性化推荐系统
文章主要介绍的是koren 08年发的论文[1], 2.1 部分内容(其余部分会陆续补充上来)。
koren论文中用到netflix 数据集, 过于大, 在普通的pc机上运行时间很长很长。考虑到写文章目地主要是已介绍总结方法为主,所以采用Movielens 数据集。
要用到的变量介绍:

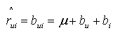
Baseline estimates

object function:

梯度变化(利用stochastic gradient descent算法使上述的目标函数值,在设定的迭代次数内,降到最小)

系统评判标准:

参数设置:

迭代次数maxStep = 100, 学习速率(梯度变化速率)取0.99 还有的其他参数设置参考引用论文[2]
具体的代码实现
REFERENCES
1.Y. Koren. Factorization Meets the Neighborhood: a Multifaceted Collaborative Filtering Model. Proc. 14th ACM SIGKDD Int. Conf. On Knowledge Discovery and Data Mining (KDD’08), pp. 426–434, 2008.
2. Y.Koren. The BellKor Solution to the Netflix Grand Prize 2009
转载请注明:转自 zh's note http://blog.csdn.net/wuzh670/