首页 诗词 字典 板报 句子 名言 友答 励志 学校 网站地图
当前位置: 首页 > 教程频道 > 开发语言 > 编程 >

胜利者树与败者树

2012-12-20 
胜者树与败者树胜者树和败者树都是完全二叉树,是树形选择排序的一种变型。每个叶子结点相当于一个选手,每个

胜者树与败者树
胜者树和败者树都是完全二叉树,是树形选择排序的一种变型。每个叶子结点相当于一个选手,每个中间结点相当于一场比赛,每一层相当于一轮比赛。不同的是,胜者树的中间结点记录的是胜者的标号;而败者树的中间结点记录的败者的标号。胜者树与败者树可以在log(n)的时间内找到最值。任何一个叶子结点的值改变后,利用中间结点的信息,还是能够快速地找到最值。在k路归并排序中经常用到。

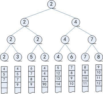
胜者树的一个优点是,如果一个选手的值改变了,可以很容易地修改这棵胜者树。只需要沿着从该结点到根结点的路径修改这棵二叉树,而不必改变其他比赛的结果。下面是选择一个最小的数字为最胜利者(见图1所示),第一次把各个数组里面的第一个元素都放进去,这是根据胜利树的规则两两比较,得到最小的值,第一次弄完之后,就得出1数字是胜利的,也就是1是最小的。在下一次输出第二小的数字时候,只需要把1所在的数组里面的元素加进去,然后从叶子节点到根节点一直比较得出第二小的值,这样就减少了很多次无用的比较(见图2所示)。

胜利者树与败者树                        胜利者树与败者树


问题:有20个有序数组,每个数组有500个uint变量,降序排序。要求从这10000个元素中选出最大的500个。有人可能会有疑问,就是如果给定的是奇数个数组,那么这个胜者树是不是不能用了呢,其实是可以的。我们大不了可以加一个数组,把数组的个数凑成偶数。这个新加的数组中的所有元素置为极大值或者极小值。这样,这些元素虽然被构建到胜者树中,但是他们因为是极大或者极小的,所以不被纳入胜者树的计算结果中。所以不会产生影响。这样是比较浪费点空间。如果觉得不想浪费这么多的空间,其实还有个办法,那就是在构建胜者树的时候考虑奇偶。如果x是偶数,那么就分配2*x的空间,把 x-2x-1的元素都赋值。而第0个空间是不用的。第一个空间存储胜者树的根。如果是奇数的情况,算一下要用的节点数。2*(x + 1) - 1个,所以直接分配 2 *( x + 1) 个节点,把最后一个节点的值置为最大或者最小。下面给出程序代码:
 胜利者树与败者树Fig. 1Fig. 1是一棵败者树。规定数大者败。
    b3 PK b4,b3胜b4负,内部结点ls[4]的值为4;b3 PK b0,b3胜b0负,内部结点ls[2]的值为0;b1 PK b2,b1胜b2负,内部结点ls[3]的值为2;b3 PK b1,b3胜b1负,内部结点ls[1]的值为1;在根结点ls[1]上又加了一个结点ls[0]=3,记录的最后的胜者。
败者树重构过程如下:
    将新进入选择树的结点与其父结点进行比赛:将败者存放在父结点中;而胜者再与上一级的父结点比较。比赛沿着到根结点的路径不断进行,直到ls[1]处。把败者存放在结点ls[1]中,胜者存放在ls[0]中。胜利者树与败者树Fig. 2       Fig. 2是当b3变为13时,败者树的重构图。        注意,败者树的重构跟胜者树是不一样的,败者树的重构只需要与其父结点比较。对照Fig. 1来看,b3与结点ls[4]的原值比较,ls[4]中存放的原值是结点4,即b3与b4比较,b3负b4胜,则修改ls[4]的值为结点3。同理,以此类推,沿着根结点不断比赛,直至结束。
           败者树是胜者树的一种变体。在败者树中,用父结点记录其左右子结点进行比赛的败者,而让胜者参加下一轮的比赛。败者树的根结点记录的是败者,需要加一个结点来记录整个比赛的胜利者。采用败者树可以简化重构的过程。 胜利者树与败者树Fig. 3Fig. 3是一棵败者树。规定数大者败。
      b3 PK b4,b3胜b4负,内部结点ls[4]的值为4;b3 PK b0,b3胜b0负,内部结点ls[2]的值为0;b1 PK b2,b1胜b2负,内部结点ls[3]的值为2;b3 PK b1,b3胜b1负,内部结点ls[1]的值为1;在根结点ls[1]上又加了一个结点ls[0]=3,记录的最后的胜者。
    败者树重构过程如下:
      将新进入选择树的结点与其父结点进行比赛:将败者存放在父结点中;而胜者再与上一级的父结点比较。比赛沿着到根结点的路径不断进行,直到ls[1]处。把败者存放在结点ls[1]中,胜者存放在ls[0]中。胜利者树与败者树Fig. 4       Fig. 4是当b3变为13时,败者树的重构图。        注意,败者树的重构跟胜者树是不一样的,败者树的重构只需要与其父结点比较。对照Fig. 3来看,b3与结点ls[4]的原值比较,ls[4]中存放的原值是结点4,即b3与b4比较,b3负b4胜,则修改ls[4]的值为结点3。同理,以此类推,沿着根结点不断比赛,直至结束。

热点排行