【OpenCV】计算Haar特征个数
最早的Haar特征由Papageorgiou C.等提出(《A general framework for object detection》),后来Paul Viola和Michal Jones提出利用积分图像法快速计算Haar特征的方法(《Rapid object detection using a boosted cascade of simple features》)。之后,Rainer Lienhart 和 Jochen Maydt用对角特征对Haar特征库进行了扩展(《An extended set of Haar-like features for rapid object detection》)。OpenCV的Haar分类器就是基于扩展后的特征库实现的。
Haar特征本身并不复杂,就是用图中黑色矩形所有像素值的和减去白色矩形所有像素值的和。

看过Rainer Lienhart文章的人知道,Rainer Lienhart在文章中给出了计算特定图像面积内Haar特征个数公式。小女才拙,到最后也没推出那个公式来,还望看明白的大牛留言指教~
Rainer Lienhart计算Haar特征个数的公式:

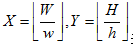
其中,
为图片大小,
为矩形特征大小,
表示矩形特征在水平和垂直方向的能放大的最大比例系数。
对于45°的rotated特征(如1(c)和1(d)),w,h表示如下图所示:

其计算公式为:

*论文中没有说明,个人认为此处除了Z,XY值也有变化:
1、对于某特定大小的特征,在窗口内滑动计算。
也就是如图1(a)特征大小为2*1,对于24*24的图像。水平可滑动23步,垂直滑动24步,所以共有23*24个特征。
2、对于一个特征,特征本身沿水平、竖直方向分别缩放。
还看特征1(a),特征大小为2*1,则延水平方向可放大为:4*1,6*1,8*1,…,24*1;竖直方向可放大为:2*1,2*2,2*3,…,2*24。即每个特征有XY种放大方式。(!放大的矩形特征并限制保持2:1的比例!)
清楚这两点,就很容易写出计算特征个数的代码:
可以看到和论文用公式计算得到的值是一致的~
另一种递推计算方法:
特征个数虽然很大,但很有规律,不用程序用笔也很容易推出递推公式。
如1(a)和1(b)特征递推为:(12^2)*(1+2+...+24)=43,200
具体参见此贴:Re: [OpenCV] Re: Number of haar features
(转载请注明作者和出处:http://blog.csdn.net/xiaowei_cqu 未经允许请勿用于商业用途)