首页 诗词 字典 板报 句子 名言 友答 励志 学校 网站地图
当前位置: 首页 > 教程频道 > 开发语言 > 编程 >

Bezier曲线的de Casteljau算法证实

2012-11-08 
Bezier曲线的de Casteljau算法证明ezier曲线(又称貝茲曲線或贝塞尔曲线)的定义和性质请看维基百科貝茲曲線

Bezier曲线的de Casteljau算法证明

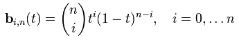
ezier曲线(又称貝茲曲線或贝塞尔曲线)的定义和性质请看维基百科貝茲曲線。它的定义是:

Bezier曲线的de Casteljau算法证实

其中,

Bezier曲线的de Casteljau算法证实,约定00?= 1.

?

e Casteljau算法揭示了Bezier数学上很美的一个性质,我八成相信是先有了这个性质,才有了上面的定义式,当然它们是等价的。首先来看维基百科中的三张图:

二次Bezier曲线Bezier曲线的de Casteljau算法证实

三次Bezier曲线:Bezier曲线的de Casteljau算法证实

四次Bezier曲线:Bezier曲线的de Casteljau算法证实

这三张图展现了Bezier曲线漂亮的数学性质。图中的参数变量t的从0增长到1,红色的线就是Bezier曲线,Bezier曲线上的任一个点(t),都是其它相邻线段的同等比例(t)点处的连线,再取同等比例(t)的点再连线,一直取到最后那条线段的同等比例(t)处,该点就是Beizer曲线上的点(t). 以二次Bezier曲线为例,如该曲线上的1/3点,就是线段P0P1取1/3点,P1P2取1/3点,两点连线,再取其1/3点处即是。这就是de Casteljau算法提出来的,其数学表达式是:

Bezier曲线的de Casteljau算法证实

上式中,k表示第k层,以四次Bezier曲线为例,k=0时,就是灰色线段,k=1时,就是绿色线段,k=2就是蓝色线段,一直递推下去就是Bezier上的点(t)了。于是用de Casteljau算法很容易求出Bezier曲线上的任一点(t)的位置。换一种图示的方法表示这种递推关系:

Bezier曲线的de Casteljau算法证实

这是用几何画板画的,很难看,解释一下。左边一列是原来(k=0)的控制顶点,第二列是(k=1)的控制顶点,以此类推。每个箭头表示两个点分别乘以1-t和t并加起来,得到右边的点。这样一直做到最后的点就是Bezier上的点(t).

先看P0的系数为什么是Bezier曲线的de Casteljau算法证实,因为每次P0都是乘以(1-t)传到右边的点,这样一直传了n次到达最右端。仔细看一下就可以发现,最左边的点传递到最右边,是靠乘以一系列的t或1-t到达的,那么Pi的系数就是Pi走到最右边左右的"路"的系数之和。比如,P0只能一直走斜下的边,而且只有一条路,记住能不往左走,因此它的系数就是Bezier曲线的de Casteljau算法证实。那么P1的系数就是Bezier曲线的de Casteljau算法证实,因为它到最右边有两条路,且t和1-t的次数是一样的。可以发现每个Pi的每条路的t和1-t的次数都是一样的,而路的条数的系数很熟悉。没错,把上图逆时钟转90°就是杨辉三角了。

杨辉三角有这样的特征:每个数字表示从顶点走下来到该点不同走法的数目,而且无论是哪条路走到该点,向左和向右的次数是一样的,等于该点的二次多项式展开系数。

到了这里,如果看懂了的话,我想已经证明了,剩下就是一些说明性言语了。数学美还没结束,见下图:

Bezier曲线的de Casteljau算法证实

?

绿色线按顺序排列的点P0到P0n这n个点可以画出一条n次Bezier曲线,记为B1;蓝色的n个点也可以画出一条n次Bezier曲线;这两条曲线直接接起来,就是原来P0到Pn画出的n次Bezier曲线!神奇吧,它们居然有类似向量的性质。实际应用也是用这个性质,一般取t=1/2,将一条Bezier曲线变成两条小的,再继续分下去,当Bezier曲线足够小时就可以用线段代替曲线了。这个性质同样可以证明,但写到网上很麻烦就不写了,大家推荐好一点的数学画图软件,谢谢。数学有时很美。

?

?

?

?

?

热点排行