首页 诗词 字典 板报 句子 名言 友答 励志 学校 网站地图
当前位置: 首页 > 教程频道 > 开发语言 > 编程 >

Hoffman编码(Huffman Coding)

2012-10-19 
霍夫曼编码(Huffman Coding)霍夫曼编码(Huffman Coding)是一种编码方式,是一种用于无损数据压缩的熵编码(

霍夫曼编码(Huffman Coding)

霍夫曼编码Huffman Coding)是一种编码方式,是一种用于无损数据压缩的熵编码(权编码)算法。1952年,David A. Huffman在麻省理工攻读博士时所发明的,并发表于《一种构建极小多余编码的方法》(A Method for the Construction of Minimum-Redundancy Codes)一文。

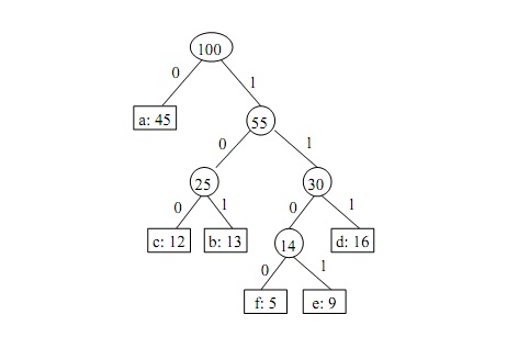
在计算机数据处理中,霍夫曼编码使用变长编码表对源符号(如文件中的一个字母)进行编码,其中变长编码表是通过一种评估来源符号出现机率的方法得到的,出现机率高的字母使用较短的编码,反之出现机率低的则使用较长的编码,这便使编码之后的字符串的平均长度、期望值降低,从而达到无损压缩数据的目的。(http://zh.wikipedia.org/wiki/Huffman%E7%B7%A8%E7%A2%BC)

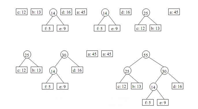
霍夫曼编码过程:

Hoffman编码(Huffman Coding)

Hoffman编码(Huffman Coding)



热点排行