首页 诗词 字典 板报 句子 名言 友答 励志 学校 网站地图
当前位置: 首页 > 教程频道 > 开发语言 > 编程 >

activiti学习文件12

2012-10-18 
activiti学习资料12 activiti学习资料12activiti是jbpm4进化而来,team leader 也没换人,所以activiti和jbp

activiti学习资料12

 activiti学习资料12


activiti是jbpm4进化而来,team leader 也没换人,所以activiti和jbpm4的api有这将近60%的相同,官方网站是activiti.org. 上手来说比较简单.

activiti自我感触

        activiti也支持了bpmn2.0,而且在 支持的基础上,做了大量的自定义以activiti前缀开头的扩展,目的是让你用着更方便,一般来说,bpmn2.0里面配置复杂的,或者实现复杂,或者没实现的,activiti都有相应的拓展. 带来的问题也显而易见,大量的拓展,对与以后版本的升级带了的困扰

        activiti在junit 测试方面提供了大量的支持,我不知道他们为什么话这么多功夫搞junit,很多我想要的功能在userguide 和activiti in action(一般官方推荐的书)里面都没有提到,有40%的activiti jar包里面的api没有提到,但是反而官方提供的例子里面都是用这些没有提到的api实现的,这就导致了我学习activiti时,遇到了很多困扰.在官方提供的javadoc里面仅仅包涵了60%的api 我不知道activiti团队是什么意思,也许是觉得这些api不够稳定,如果不够稳定,他们也没有给提供什么解决方案,例如:流程图显示,api里面明明有一个类可以生成,偏偏不告诉你,自由流的实现也是,很多都是我通过反编译官方提供的例子(activiti-explorer)才知道的.然我太费解了.

        activiti的持久化(persistence)用的是mybatis,效率真的不是很高,可能activiti的团队的sql很烂吧,在查询所有任务时,往往超乎你的想想.

        activiti的eclipse的插件 让我也很费解,user guide 上说 创建的流程文件必须是bpmn20.xml,但是用这个插件创建的东西都是bpmn结尾的,而且不能指定这个插件默认编辑bpmn20.xml结尾的文件,让我操作起来很不爽,但是总体来说,这个插件其他地方用起来还不错,比jbpm4的插件好了不止100倍,不论是bpmn2.0标准的流程元素,还是activiti拓展的流程元素,这些元素的所有属性,监听器都可以直接在属性页面配置.还是很不错的.

        activiti对spring的集成还是很到位的,在userguide里面占了一定的篇幅.,而且专门提供了一个spring使用的流程引擎:SpringProcessEngineConfiguration,集成起来还是比较方便的.user guide上有说的很详细了,我不多说了。

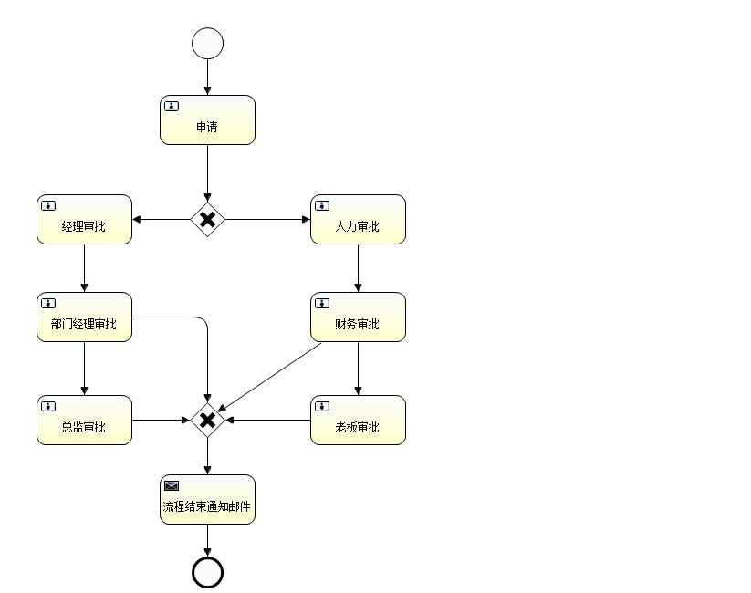
我做了一个请假流程的小例子(貌似,学习语言的例子是Hello world,我见过的流程的例子都是请假流程。。。),这是我的流程图。activiti学习文件12

        主要逻辑很简单,申请人需要填写申请单,字段有:请假天数(day),请假类型(病假,事假),请假原因。然后病假类型走经理审批线路,事假类型走人力审批线路。

        病假线路中,部门经理审批完成之后,如果请假天数大于3天,需要走总监审批,如果,小于等于3天,直接结束,发送通知邮件。

        事假线路中,财务审批完成之后,也是如果请假天数大于3天,需要走老板审批,如果,小于等于3天,直接结束,发送通知邮件。

        每个节点的审批人都是分别是:申请人:随便,经理审批:jingli,部门经理审批:bumen,总监审批:zongjian,人力审批:人力,财务审批:caiwu,老板审批:boss。


        这里我也是封装了一个类,ProcessCustomService,这个类是我在另外一篇博客中看到的,当然是不能运行的代码,我修改完善,有加了我很多自己的东西。下面是我修改后的代码:

/* Licensed under the Apache License, Version 2.0 (the "License"); * you may not use this file except in compliance with the License. * You may obtain a copy of the License at *  *      http://www.apache.org/licenses/LICENSE-2.0 *  * Unless required by applicable law or agreed to in writing, software * distributed under the License is distributed on an "AS IS" BASIS, * WITHOUT WARRANTIES OR CONDITIONS OF ANY KIND, either express or implied. * See the License for the specific language governing permissions and * limitations under the License. */package org.activiti.engine.impl.bpmn.diagram;import java.awt.BasicStroke;import java.awt.Color;import java.awt.Font;import java.awt.FontMetrics;import java.awt.Graphics2D;import java.awt.Image;import java.awt.Paint;import java.awt.Polygon;import java.awt.Rectangle;import java.awt.RenderingHints;import java.awt.Stroke;import java.awt.geom.AffineTransform;import java.awt.geom.Ellipse2D;import java.awt.geom.Line2D;import java.awt.geom.RoundRectangle2D;import java.awt.image.BufferedImage;import java.io.ByteArrayInputStream;import java.io.ByteArrayOutputStream;import java.io.IOException;import java.io.InputStream;import java.util.logging.Logger;import javax.imageio.ImageIO;import org.activiti.engine.ActivitiException;import org.activiti.engine.impl.util.IoUtil;import org.activiti.engine.impl.util.ReflectUtil;/** * Represents a canvas on which BPMN 2.0 constructs can be drawn. *  * Some of the icons used are licenced under a Creative Commons Attribution 2.5 * License, see http://www.famfamfam.com/lab/icons/silk/ *  * @see ProcessDiagramGenerator * @author Joram Barrez */public class ProcessDiagramCanvas {  protected static final Logger LOGGER = Logger.getLogger(ProcessDiagramCanvas.class.getName());  // Predefined sized  protected static final int ARROW_WIDTH = 5;  protected static final int CONDITIONAL_INDICATOR_WIDTH = 16;  protected static final int MARKER_WIDTH = 12;  // Colors  protected static Color TASK_COLOR = new Color(255, 255, 204);  protected static Color BOUNDARY_EVENT_COLOR = new Color(255, 255, 255);  protected static Color CONDITIONAL_INDICATOR_COLOR = new Color(255, 255, 255);  protected static Color HIGHLIGHT_COLOR = Color.RED;  // Strokes  protected static Stroke THICK_TASK_BORDER_STROKE = new BasicStroke(3.0f);  protected static Stroke GATEWAY_TYPE_STROKE = new BasicStroke(3.0f);  protected static Stroke END_EVENT_STROKE = new BasicStroke(3.0f);  protected static Stroke MULTI_INSTANCE_STROKE = new BasicStroke(1.3f);  // icons  protected static int ICON_SIZE = 16;  protected static Image USERTASK_IMAGE;  protected static Image SCRIPTTASK_IMAGE;  protected static Image SERVICETASK_IMAGE;  protected static Image RECEIVETASK_IMAGE;  protected static Image SENDTASK_IMAGE;  protected static Image MANUALTASK_IMAGE;  protected static Image TIMER_IMAGE;  protected static Image ERROR_THROW_IMAGE;  protected static Image ERROR_CATCH_IMAGE;  // icons are statically loaded for performace  static {    try {      USERTASK_IMAGE = ImageIO.read(ReflectUtil.getResourceAsStream("org/activiti/engine/impl/bpmn/deployer/user.png"));      SCRIPTTASK_IMAGE = ImageIO.read(ReflectUtil.getResourceAsStream("org/activiti/engine/impl/bpmn/deployer/script.png"));      SERVICETASK_IMAGE = ImageIO.read(ReflectUtil.getResourceAsStream("org/activiti/engine/impl/bpmn/deployer/service.png"));      RECEIVETASK_IMAGE = ImageIO.read(ReflectUtil.getResourceAsStream("org/activiti/engine/impl/bpmn/deployer/receive.png"));      SENDTASK_IMAGE = ImageIO.read(ReflectUtil.getResourceAsStream("org/activiti/engine/impl/bpmn/deployer/send.png"));      MANUALTASK_IMAGE = ImageIO.read(ReflectUtil.getResourceAsStream("org/activiti/engine/impl/bpmn/deployer/manual.png"));      TIMER_IMAGE = ImageIO.read(ReflectUtil.getResourceAsStream("org/activiti/engine/impl/bpmn/deployer/timer.png"));      ERROR_THROW_IMAGE = ImageIO.read(ReflectUtil.getResourceAsStream("org/activiti/engine/impl/bpmn/deployer/error_throw.png"));      ERROR_CATCH_IMAGE = ImageIO.read(ReflectUtil.getResourceAsStream("org/activiti/engine/impl/bpmn/deployer/error_catch.png"));    } catch (IOException e) {      LOGGER.warning("Could not load image for process diagram creation: " + e.getMessage());    }  }  protected int canvasWidth = -1;  protected int canvasHeight = -1;  protected int minX = -1;  protected int minY = -1;  protected BufferedImage processDiagram;  protected Graphics2D g;  protected FontMetrics fontMetrics;  protected boolean closed;  /**   * Creates an empty canvas with given width and height.   */  public ProcessDiagramCanvas(int width, int height) {    this.canvasWidth = width;    this.canvasHeight = height;    this.processDiagram = new BufferedImage(width, height, BufferedImage.TYPE_INT_ARGB);    this.g = processDiagram.createGraphics();    g.setRenderingHint(RenderingHints.KEY_ANTIALIASING, RenderingHints.VALUE_ANTIALIAS_ON);    g.setPaint(Color.black);    Font font = new Font("瀹嬩綋", Font.BOLD, 11);    g.setFont(font);    this.fontMetrics = g.getFontMetrics();  }  /**   * Creates an empty canvas with given width and height.   *    * Allows to specify minimal boundaries on the left and upper side of the   * canvas. This is useful for diagrams that have white space there (eg   * Signavio). Everything beneath these minimum values will be cropped.   *    * @param minX   *          Hint that will be used when generating the image. Parts that fall   *          below minX on the horizontal scale will be cropped.   * @param minY   *          Hint that will be used when generating the image. Parts that fall   *          below minX on the horizontal scale will be cropped.   */  public ProcessDiagramCanvas(int width, int height, int minX, int minY) {    this(width, height);    this.minX = minX;    this.minY = minY;  }  /**   * Generates an image of what currently is drawn on the canvas.   *    * Throws an {@link ActivitiException} when {@link #close()} is already   * called.   */  public InputStream generateImage(String imageType) {    if (closed) {      throw new ActivitiException("ProcessDiagramGenerator already closed");    }    ByteArrayOutputStream out = new ByteArrayOutputStream();    try {      // Try to remove white space      minX = (minX <= 5) ? 5 : minX;      minY = (minY <= 5) ? 5 : minY;      BufferedImage imageToSerialize = processDiagram;      if (minX >= 0 && minY >= 0) {        imageToSerialize = processDiagram.getSubimage(minX - 5, minY - 5, canvasWidth - minX + 5, canvasHeight - minY + 5);      }      ImageIO.write(imageToSerialize, imageType, out);    } catch (IOException e) {      throw new ActivitiException("Error while generating process image", e);    } finally {      IoUtil.closeSilently(out);    }    return new ByteArrayInputStream(out.toByteArray());  }  /**   * Closes the canvas which dissallows further drawing and releases graphical   * resources.   */  public void close() {    g.dispose();    closed = true;  }  public void drawNoneStartEvent(int x, int y, int width, int height) {    drawStartEvent(x, y, width, height, null);  }  public void drawTimerStartEvent(int x, int y, int width, int height) {    drawStartEvent(x, y, width, height, TIMER_IMAGE);  }  public void drawStartEvent(int x, int y, int width, int height, Image image) {    g.draw(new Ellipse2D.Double(x, y, width, height));    if (image != null) {      g.drawImage(image, x, y, width, height, null);    }  }  public void drawNoneEndEvent(int x, int y, int width, int height) {    Stroke originalStroke = g.getStroke();    g.setStroke(END_EVENT_STROKE);    g.draw(new Ellipse2D.Double(x, y, width, height));    g.setStroke(originalStroke);  }  public void drawErrorEndEvent(int x, int y, int width, int height) {    drawNoneEndEvent(x, y, width, height);    g.drawImage(ERROR_THROW_IMAGE, x + 3, y + 3, width - 6, height - 6, null);  }  public void drawCatchingEvent(int x, int y, int width, int height, Image image) {    // event circles    Ellipse2D outerCircle = new Ellipse2D.Double(x, y, width, height);    int innerCircleX = x + 3;    int innerCircleY = y + 3;    int innerCircleWidth = width - 6;    int innerCircleHeight = height - 6;    Ellipse2D innerCircle = new Ellipse2D.Double(innerCircleX, innerCircleY, innerCircleWidth, innerCircleHeight);    Paint originalPaint = g.getPaint();    g.setPaint(BOUNDARY_EVENT_COLOR);    g.fill(outerCircle);    g.setPaint(originalPaint);    g.draw(outerCircle);    g.draw(innerCircle);    g.drawImage(image, innerCircleX, innerCircleY, innerCircleWidth, innerCircleHeight, null);  }  public void drawCatchingTimerEvent(int x, int y, int width, int height) {    drawCatchingEvent(x, y, width, height, TIMER_IMAGE);  }  public void drawCatchingErroEvent(int x, int y, int width, int height) {    drawCatchingEvent(x, y, width, height, ERROR_CATCH_IMAGE);  }  public void drawSequenceflow(int srcX, int srcY, int targetX, int targetY, boolean conditional) {    Line2D.Double line = new Line2D.Double(srcX, srcY, targetX, targetY);    g.draw(line);    drawArrowHead(line);    if (conditional) {      drawConditionalSequenceFlowIndicator(line);    }  }  public void drawSequenceflowWithoutArrow(int srcX, int srcY, int targetX, int targetY, boolean conditional) {    Line2D.Double line = new Line2D.Double(srcX, srcY, targetX, targetY);    g.draw(line);    if (conditional) {      drawConditionalSequenceFlowIndicator(line);    }  }  public void drawArrowHead(Line2D.Double line) {    int doubleArrowWidth = 2 * ARROW_WIDTH;    Polygon arrowHead = new Polygon();    arrowHead.addPoint(0, 0);    arrowHead.addPoint(-ARROW_WIDTH, -doubleArrowWidth);    arrowHead.addPoint(ARROW_WIDTH, -doubleArrowWidth);    AffineTransform transformation = new AffineTransform();    transformation.setToIdentity();    double angle = Math.atan2(line.y2 - line.y1, line.x2 - line.x1);    transformation.translate(line.x2, line.y2);    transformation.rotate((angle - Math.PI / 2d));    AffineTransform originalTransformation = g.getTransform();    g.setTransform(transformation);    g.fill(arrowHead);    g.setTransform(originalTransformation);  }  public void drawConditionalSequenceFlowIndicator(Line2D.Double line) {    int horizontal = (int) (CONDITIONAL_INDICATOR_WIDTH * 0.7);    int halfOfHorizontal = horizontal / 2;    int halfOfVertical = CONDITIONAL_INDICATOR_WIDTH / 2;    Polygon conditionalIndicator = new Polygon();    conditionalIndicator.addPoint(0, 0);    conditionalIndicator.addPoint(-halfOfHorizontal, halfOfVertical);    conditionalIndicator.addPoint(0, CONDITIONAL_INDICATOR_WIDTH);    conditionalIndicator.addPoint(halfOfHorizontal, halfOfVertical);    AffineTransform transformation = new AffineTransform();    transformation.setToIdentity();    double angle = Math.atan2(line.y2 - line.y1, line.x2 - line.x1);    transformation.translate(line.x1, line.y1);    transformation.rotate((angle - Math.PI / 2d));    AffineTransform originalTransformation = g.getTransform();    g.setTransform(transformation);    g.draw(conditionalIndicator);    Paint originalPaint = g.getPaint();    g.setPaint(CONDITIONAL_INDICATOR_COLOR);    g.fill(conditionalIndicator);    g.setPaint(originalPaint);    g.setTransform(originalTransformation);  }  public void drawTask(String name, int x, int y, int width, int height) {    drawTask(name, x, y, width, height, false);  }  protected void drawTask(String name, int x, int y, int width, int height, boolean thickBorder) {    Paint originalPaint = g.getPaint();    g.setPaint(TASK_COLOR);    // shape    RoundRectangle2D rect = new RoundRectangle2D.Double(x, y, width, height, 20, 20);    g.fill(rect);    g.setPaint(originalPaint);    if (thickBorder) {      Stroke originalStroke = g.getStroke();      g.setStroke(THICK_TASK_BORDER_STROKE);      g.draw(rect);      g.setStroke(originalStroke);    } else {      g.draw(rect);    }    // text    if (name != null) {      String text = fitTextToWidth(name, width);      int textX = x + ((width - fontMetrics.stringWidth(text)) / 2);      int textY = y + ((height - fontMetrics.getHeight()) / 2) + fontMetrics.getHeight();      g.drawString(text, textX, textY);    }  }  protected String fitTextToWidth(String original, int width) {    String text = original;    // remove length for "..."    int maxWidth = width - 10;    while (fontMetrics.stringWidth(text + "...") > maxWidth && text.length() > 0) {      text = text.substring(0, text.length() - 1);    }    if (!text.equals(original)) {      text = text + "...";    }    return text;  }  public void drawUserTask(String name, int x, int y, int width, int height) {    drawTask(name, x, y, width, height);    g.drawImage(USERTASK_IMAGE, x + 7, y + 7, ICON_SIZE, ICON_SIZE, null);  }  public void drawScriptTask(String name, int x, int y, int width, int height) {    drawTask(name, x, y, width, height);    g.drawImage(SCRIPTTASK_IMAGE, x + 7, y + 7, ICON_SIZE, ICON_SIZE, null);  }  public void drawServiceTask(String name, int x, int y, int width, int height) {    drawTask(name, x, y, width, height);    g.drawImage(SERVICETASK_IMAGE, x + 7, y + 7, ICON_SIZE, ICON_SIZE, null);  }  public void drawReceiveTask(String name, int x, int y, int width, int height) {    drawTask(name, x, y, width, height);    g.drawImage(RECEIVETASK_IMAGE, x + 7, y + 7, ICON_SIZE, ICON_SIZE, null);  }  public void drawSendTask(String name, int x, int y, int width, int height) {    drawTask(name, x, y, width, height);    g.drawImage(SENDTASK_IMAGE, x + 7, y + 7, ICON_SIZE, ICON_SIZE, null);  }  public void drawManualTask(String name, int x, int y, int width, int height) {    drawTask(name, x, y, width, height);    g.drawImage(MANUALTASK_IMAGE, x + 7, y + 7, ICON_SIZE, ICON_SIZE, null);  }  public void drawExpandedSubProcess(String name, int x, int y, int width, int height) {    RoundRectangle2D rect = new RoundRectangle2D.Double(x, y, width, height, 20, 20);    g.draw(rect);    String text = fitTextToWidth(name, width);    g.drawString(text, x + 10, y + 15);  }  public void drawCollapsedSubProcess(String name, int x, int y, int width, int height) {    drawCollapsedTask(name, x, y, width, height, false);  }  public void drawCollapsedCallActivity(String name, int x, int y, int width, int height) {    drawCollapsedTask(name, x, y, width, height, true);  }  protected void drawCollapsedTask(String name, int x, int y, int width, int height, boolean thickBorder) {    // The collapsed marker is now visualized separately    drawTask(name, x, y, width, height, thickBorder);  }  public void drawCollapsedMarker(int x, int y, int width, int height) {    // rectangle    int rectangleWidth = MARKER_WIDTH;    int rectangleHeight = MARKER_WIDTH;    Rectangle rect = new Rectangle(x + (width - rectangleWidth) / 2, y + height - rectangleHeight - 3, rectangleWidth, rectangleHeight);    g.draw(rect);    // plus inside rectangle    Line2D.Double line = new Line2D.Double(rect.getCenterX(), rect.getY() + 2, rect.getCenterX(), rect.getMaxY() - 2);    g.draw(line);    line = new Line2D.Double(rect.getMinX() + 2, rect.getCenterY(), rect.getMaxX() - 2, rect.getCenterY());    g.draw(line);  }  public void drawActivityMarkers(int x, int y, int width, int height, boolean multiInstanceSequential, boolean multiInstanceParallel, boolean collapsed) {    if (collapsed) {      if (!multiInstanceSequential && !multiInstanceParallel) {        drawCollapsedMarker(x, y, width, height);      } else {        drawCollapsedMarker(x - MARKER_WIDTH / 2 - 2, y, width, height);        if (multiInstanceSequential) {          drawMultiInstanceMarker(true, x + MARKER_WIDTH / 2 + 2, y, width, height);        } else if (multiInstanceParallel) {          drawMultiInstanceMarker(false, x + MARKER_WIDTH / 2 + 2, y, width, height);        }      }    } else {      if (multiInstanceSequential) {        drawMultiInstanceMarker(false, x, y, width, height);      } else if (multiInstanceParallel) {        drawMultiInstanceMarker(true, x, y, width, height);      }    }  }  public void drawGateway(int x, int y, int width, int height) {    Polygon rhombus = new Polygon();    rhombus.addPoint(x, y + (height / 2));    rhombus.addPoint(x + (width / 2), y + height);    rhombus.addPoint(x + width, y + (height / 2));    rhombus.addPoint(x + (width / 2), y);    g.draw(rhombus);  }  public void drawParallelGateway(int x, int y, int width, int height) {    // rhombus    drawGateway(x, y, width, height);    // plus inside rhombus    Stroke orginalStroke = g.getStroke();    g.setStroke(GATEWAY_TYPE_STROKE);    Line2D.Double line = new Line2D.Double(x + 10, y + height / 2, x + width - 10, y + height / 2); // horizontal    g.draw(line);    line = new Line2D.Double(x + width / 2, y + height - 10, x + width / 2, y + 10); // vertical    g.draw(line);    g.setStroke(orginalStroke);  }  public void drawExclusiveGateway(int x, int y, int width, int height) {    // rhombus    drawGateway(x, y, width, height);    int quarterWidth = width / 4;    int quarterHeight = height / 4;    // X inside rhombus    Stroke orginalStroke = g.getStroke();    g.setStroke(GATEWAY_TYPE_STROKE);    Line2D.Double line = new Line2D.Double(x + quarterWidth + 3, y + quarterHeight + 3, x + 3 * quarterWidth - 3, y + 3 * quarterHeight - 3);    g.draw(line);    line = new Line2D.Double(x + quarterWidth + 3, y + 3 * quarterHeight - 3, x + 3 * quarterWidth - 3, y + quarterHeight + 3);    g.draw(line);    g.setStroke(orginalStroke);  }  public void drawInclusiveGateway(int x, int y, int width, int height) {    // rhombus    drawGateway(x, y, width, height);    int diameter = width / 2;    // circle inside rhombus    Stroke orginalStroke = g.getStroke();    g.setStroke(GATEWAY_TYPE_STROKE);    Ellipse2D.Double circle = new Ellipse2D.Double(((width - diameter) / 2) + x, ((height - diameter) / 2) + y, diameter, diameter);    g.draw(circle);    g.setStroke(orginalStroke);  }  public void drawMultiInstanceMarker(boolean sequential, int x, int y, int width, int height) {    int rectangleWidth = MARKER_WIDTH;    int rectangleHeight = MARKER_WIDTH;    int lineX = x + (width - rectangleWidth) / 2;    int lineY = y + height - rectangleHeight - 3;    Stroke orginalStroke = g.getStroke();    g.setStroke(MULTI_INSTANCE_STROKE);    if (sequential) {      g.draw(new Line2D.Double(lineX, lineY, lineX + rectangleWidth, lineY));      g.draw(new Line2D.Double(lineX, lineY + rectangleHeight / 2, lineX + rectangleWidth, lineY + rectangleHeight / 2));      g.draw(new Line2D.Double(lineX, lineY + rectangleHeight, lineX + rectangleWidth, lineY + rectangleHeight));    } else {      g.draw(new Line2D.Double(lineX, lineY, lineX, lineY + rectangleHeight));      g.draw(new Line2D.Double(lineX + rectangleWidth / 2, lineY, lineX + rectangleWidth / 2, lineY + rectangleHeight));      g.draw(new Line2D.Double(lineX + rectangleWidth, lineY, lineX + rectangleWidth, lineY + rectangleHeight));    }    g.setStroke(orginalStroke);  }  public void drawHighLight(int x, int y, int width, int height) {    Paint originalPaint = g.getPaint();    Stroke originalStroke = g.getStroke();    g.setPaint(HIGHLIGHT_COLOR);    g.setStroke(THICK_TASK_BORDER_STROKE);    RoundRectangle2D rect = new RoundRectangle2D.Double(x, y, width, height, 20, 20);    g.draw(rect);    g.setPaint(originalPaint);    g.setStroke(originalStroke);  }}


热点排行