首页 诗词 字典 板报 句子 名言 友答 励志 学校 网站地图
当前位置: 首页 > 教程频道 > 开发语言 > 编程 >

单遍历取等概率随机数有关问题

2012-09-11 
单遍历取等概率随机数问题?问题描述:假设我们有一堆数据(可能在一个链表里,也可能在文件里),数量未知。要求

单遍历取等概率随机数问题

?问题描述:

假设我们有一堆数据(可能在一个链表里,也可能在文件里),数量未知。要求只遍历一次这些数据,随机选取其中的一个元素,任何一个元素被选到的概率相等。O(n)时间,O(1)辅助空间(n是数据总数,但事先不知道)。

?

引例:

5个人抽5个签,只有一个签意味着“中签”,轮流抽签,从很久很久以前我们就认为这个是非常公平的例子,这个应该不用去怀疑吧。如果怀疑了,好吧,看下面的分析:

分析:

设Ai为第i个人抽签抽中事件,P(Ai)表示第i个人中签的概念,依题意得:

第一个人中签概率:P(A1)=1/5;

第二个人中签概率:P(A2)=4/5*1/4=1/5;(因为第二个人是在第一个人选了之后才去抽的,所以,还有4/5是第一个没有选中的,剩下的四个再去抽一个所以是1/4)

同理,?P(A3)=4/5*3/4*1/3=1/5;?

P(A4)=4/5*3/4*2/3*1/2=1/5;?

P(A3)=4/5*3/4*2/3*1/2*1=1/5;

就样,五个人抽到的是等概率的,相信了吧。

?

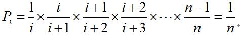
总结公式:

单遍历取等概率随机数有关问题

?

java产生随机数的几种方式

1.使用Math.random()方法来产生一个随机数,这个产生的随机数是0-1之间的一个double,可以乘以一定的数,比如说乘以100,他就是个100以内的随机。(j2me没有)

2.在java.util这个包里面提供了一个Random的类,我们可以新建一个Random的对象来产生随机数,他可以产生随机整数、随机float、随机double,随机long,这个也是我们在j2me的程序里经常用的一个取随机数的方法。
3.在我们的System类中有一个currentTimeMillis()方法,这个方法返回一个从1970年1月1号0点0分0秒到目前的一个毫秒数,返回类型是long,我们可以拿他作为一个随机数,我们可以拿他对一些数取模,就可以把他限制在一个范围之内。

一般会用到java.util里面包中的,一个例子:

结果打印了100个0到100(不包含100)的随机数。

看一下Random类:

还有nextFloat().nextLong()等方法,重点看看nextInt(int n)方法吧,看jdk说明文档。

?

参数: n - 要返回的随机数的范围。必须为正数。 返回: 下一个伪随机数,在此随机数生成器序列中 0(包括)和 n(不包括)之间均匀分布的 int 值。 抛出: IllegalArgumentException - 如果 n 不是正数

?

?

单遍历取等概率随机数问题求解JAVA实现:

?

public class Test {public static void main(String[] args) {java.util.Random r=new java.util.Random();          int n= 0 ;         int[] a = {12,34,56,78,9,91,87,4,5,62,12,3,41,8,89,541,11,54,36};         int selectNum = 0 ;        for(int k : a){        n++ ;        if(r.nextInt(n) == 0){        selectNum = k ;        }        }        System.out.println("selectNum:"+selectNum);}}

?

参考:

http://www.gocalf.com/blog/random-selection.html

http://www.blogjava.net/cool2009/archive/2009/03/15/259882.html

热点排行